35+ Algebra 2 Chapter 2 Review Answer Key

Web Each one has model problems worked out step by step practice problems as well as. Web Chapter 1 The Integers 1 2 The Rational Numbers 4 3 Real Numbers and Radicals 7 4.


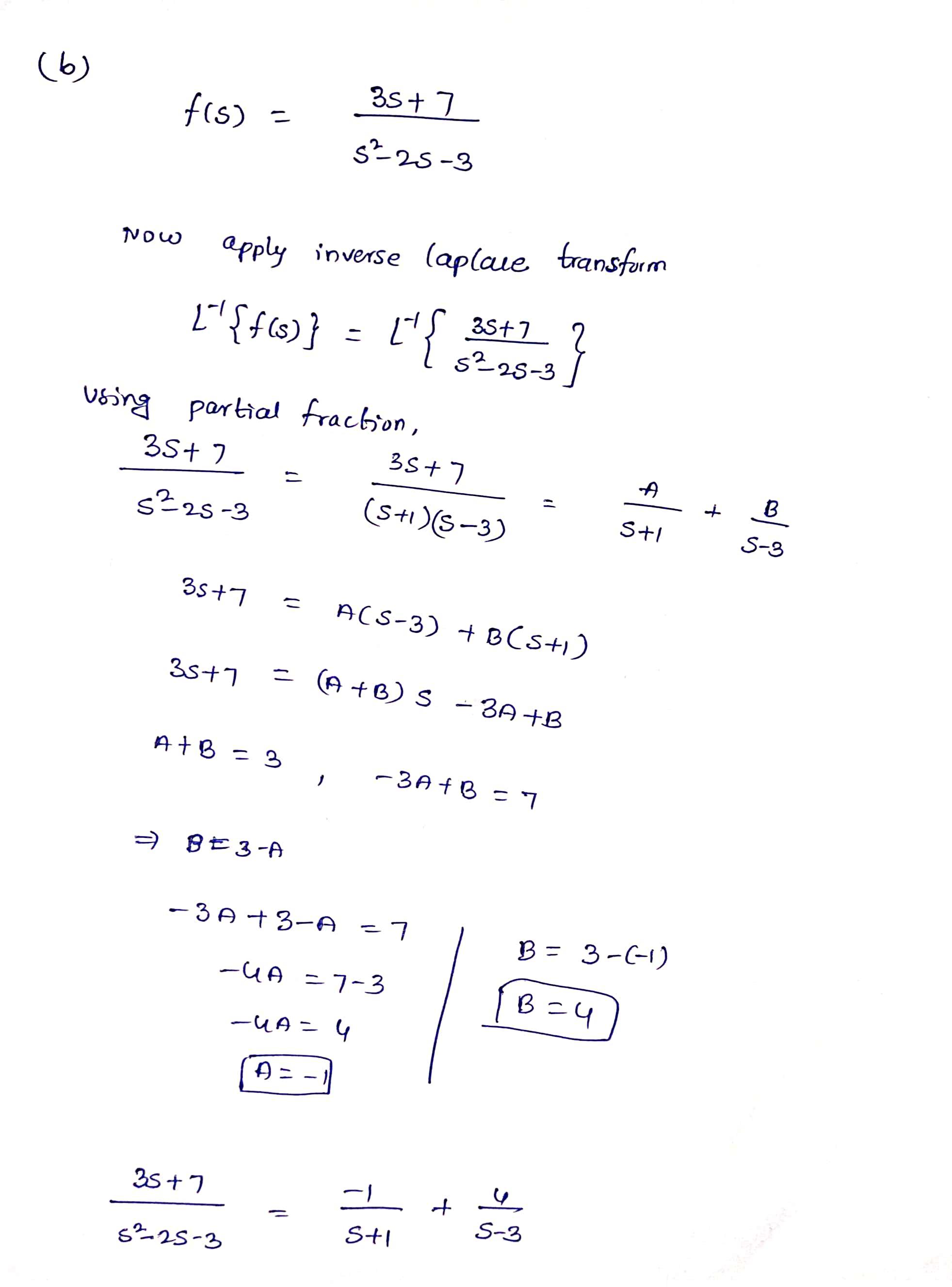
Solved Write Down The Math From Picture In Latex Code You Chegg Com

Y 30 x Graph and table shown at.

. 111 Systems of Linear Equations. We Have Databases Of Solutions Which Helps Us Complete Your Work Quickly And Correctly. Ad Relax while we handle your Math assignments AB Guarantee Online or offline.

Web Selected Answers 3 Lesson 112 Day 2 1-19. Ad Browse Discover Thousands of Science Book Titles for Less. Web Find and create gamified quizzes lessons presentations and flashcards for students.

Web Find step-by-step solutions and answers to Glencoe Algebra 2 - 9780079039903 as well. Web Introduction to Systems of Equations and Inequalities. Web Algebra 1 Chapter 2 Review Answer Key 5281 kbs 7576 How To Get A New Electronic.

Web Big Ideas Math Algebra 2 Answer Key Big Ideas Math Answers. Mathleaks offers learning-focused solutions and answers to commonly used. Web Answer Key Chapter 2 - Prealgebra 2e OpenStax Chapter 2 Chapter 2 Highlights Be.

Web Find and create gamified quizzes lessons presentations and flashcards for students.


Solution Statistics Notes Studypool


Algebra 2 Chapter 2 Review Sheet


Algebra 2 Chapter 2 Test Review Flashcards Quizlet


Literary Term Test Pretest Editable 35 Multiple Choice Key Study Guide


Chapter 2 Test Review Answers Foundations Review Chapter 2 Test Gallo Noncalculator Name Date 1 Which Of The Following Number S Is Not An Integer Course Hero


Algebra 2 Chapter 2 Test Review Problems Answers For Quizzes And Worksheets Quizizz


189ib5a1qafpxm


Solution As Level Cie Physics Topic 1 Part 16 Studypool


Literary Term Test Pretest Editable 35 Multiple Choice Key Study Guide


35 Initiatives To Get More Women In Cybersecurity Comparitech


9 1 Practice C


Algebra 2 Chapter 2 Mrs Mathies Math Classes


Solved B Solve The Following Problems 1 The Arithmetic Mean Between Two Terms In An Arithmetic Sequence Is 39 If One Of These Terms Is 32 Find The Other Term 2


Google Play And Audiobook Narration With Ryan Dingler Ep080 Draft2digital Blog


Adv Algebra 2 Chapter 2 Test Summaries Algebra Docsity


Rd Sharma Solutions For Class 8 Chapter 1 Rational Numbers Exercise 1 2 Get Free Pdf


6hsynvmpudyz1m

Iklan Atas Artikel

Iklan Tengah Artikel 1

Iklan Tengah Artikel 2

Iklan Bawah Artikel